二叉搜索树(Binary Sort Tree)
左节点<根节点<右节点,增删改查时间复杂度是 logN,但是极端情况下会退化成线性链表(每次插入的节点都是最大的),此时时间复杂度是 N,为了解决这种情况就出现了二叉平衡树
平衡二叉树(AVL)
平衡二叉树可以自平衡,树枝通过左右旋避免退化成线性链表,并且**规定了左子树和右子树的高度差<=1。**但是平衡二叉树过度追求平衡,会频繁左右旋,性能也会有所下降。
增删改查时间复杂度都是 logN
红黑树(Red Black Tree)
自平衡的二叉树,但是和 AVL 不同,红黑树的自平衡是通过左右旋+颜色来实现的,它的节点的颜色为红色和黑色。它不严格控制左、右子树高度差<=1。也是一种解决二叉查找树极端情况下退化成线性链表的数据结构。特点如下:
- 节点非黑即红
- 根节点是黑色,叶子节点都是黑色的空节点。
- 每个红色节点的两个子节点都是黑色。
- 从根节点到叶子节点或空子节点的每条路径上,黑色节点的数量是相同的。
红黑树是保持“黑平衡”的二叉树,即从根节点开始搜索,一直搜索到叶子节点,所经历的黑色节点的个数是一样的。查找效率比 AVL 慢,但是添加和删除则比 AVL 快。
B 树
在存储大量的数据并查询的时候,不论是红黑树还是平衡二叉树都存在深度问题,当其深度过于深,其检索效率会大大降低,所以开发出了 B 树。
B 树的键值存在每个节点中,每个节点的关键字(类似 mysql 索引)出现仅出现一次,
关键字内做一次查找,性能逼近二分查找的,左节点<根<右节点
B+树
在 B 树的基础上,叶子节点之间通过双向指针链接,这就方便了范围查询
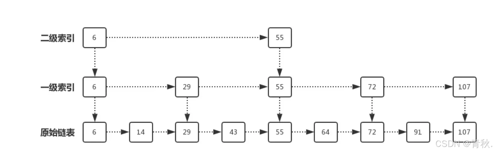
跳表
基于链表的数据结构,通过添加多层索引实现跳跃性查询,特点如下:
跳表中的数据是有序的、跳表中的每个节点都包含一个指向下一层和右侧节点的指针。
redis 就使用跳表实现了 zset

